Etiquetas Franqueadoras ATM - Desde abril 2016 en adelante
- ramko
- Mensajes: 4663
- Registrado: 28 May 2010, 14:45
- Ubicación: Bilbao
Re: Etiquetas Franqueadoras ATM - Desde abril 2016 en adelante
Todo muy bonito! A mi aún me queda un sobre publicitario por llegar, y me temo que se ha perdido... Me van a fastidiar la colección pues estos sobres ya difícil conseguirlos para enviar otro.
A ver si saco yo tiempo y subo alguna cosa más.
Un saludo
A ver si saco yo tiempo y subo alguna cosa más.
Un saludo
^***Ayuntamiento de Barcelona^**
-
RAFAEL
- Mensajes: 6707
- Registrado: 04 Nov 2006, 22:40
- Ubicación: EL CORREDOR DEL HENARES
Re: Etiquetas Franqueadoras ATM - Desde abril 2016 en adelante
Con el permiso de javivi, subo una tarjeta máxima que ha colgado en otro hilo.
Busco: atm, franqueos y cancelaciones digitales, cualquier cosa con datamatrix y algo de básicas
- alfareva
- Mensajes: 16242
- Registrado: 20 Ago 2007, 20:51
- Ubicación: Madrid
Re: Etiquetas Franqueadoras ATM - Desde abril 2016 en adelante
Hola:
Podemos avanzar como calendario en orden de aparición las siguientes previstas:
- Dos etiquetas genéricas que comenzarán a funcionar a partir del 2 de enero de 2018 en Chamartin.
- Dos etiquetas que se emitirán con motivo de la 50 Feria Nacional del Sello que se celebrará en la Plaza Mayor de Madrid en el mes de abril.
- Dos etiquetas que se emitirán con motivo de la EXFILNA 2018 que tendrá lugar en Sevilla en el mes de octubre de 2018.
Por primera vez este 2018 tendremos asistencia internacional de ATM en dos ferias internacionales, China y otra que se conocerá próximamente.
Los diseños de las nuevas etiquetas, como en años anteriores, se ilustraran con motivos que hacen referencia a la feria y al lugar donde se celebra cada feria. Podemos adelantar los motivos y diseño de las dos primeras etiquetas, las que se podrán encontrar en Chamartín a partir del 2-1-2018, que aparecerán en este próximo 2018:
- 2018 Año Europeo del Patrimonio Cultural: Será un homenaje a la cultura europea.
- 250 Aniversario de la Real Casa de Correos: Actual sede de la Comunidad de Madrid, el diseño está inspirado en el paso del tiempo representando por un lado una ilustración del edificio en sus comienzos siendo en blanco y negro dándole imagen de grabado y por otro lado la representación del edificio en la actualidad, dotándole de color y torre del reloj.
Muestro la imagen del boceto de la última etiqueta indicada.
Saludos.
NOVEDADES 2018
En la sección de NOTICIAS DE FILATELIA de la página web de Correos, figura, con fecha del 30 de noviembre, la siguiente noticia:PARA EL NUEVO AÑO, NUEVAS ETIQUETAS NACIONALES E INTERNACIONALES
Desde Filatelia se está trabajando en el diseño de las nuevas etiquetas franqueadoras (ATM) que funcionarán en 2018.Podemos avanzar como calendario en orden de aparición las siguientes previstas:
- Dos etiquetas genéricas que comenzarán a funcionar a partir del 2 de enero de 2018 en Chamartin.
- Dos etiquetas que se emitirán con motivo de la 50 Feria Nacional del Sello que se celebrará en la Plaza Mayor de Madrid en el mes de abril.
- Dos etiquetas que se emitirán con motivo de la EXFILNA 2018 que tendrá lugar en Sevilla en el mes de octubre de 2018.
Por primera vez este 2018 tendremos asistencia internacional de ATM en dos ferias internacionales, China y otra que se conocerá próximamente.
Los diseños de las nuevas etiquetas, como en años anteriores, se ilustraran con motivos que hacen referencia a la feria y al lugar donde se celebra cada feria. Podemos adelantar los motivos y diseño de las dos primeras etiquetas, las que se podrán encontrar en Chamartín a partir del 2-1-2018, que aparecerán en este próximo 2018:
- 2018 Año Europeo del Patrimonio Cultural: Será un homenaje a la cultura europea.
- 250 Aniversario de la Real Casa de Correos: Actual sede de la Comunidad de Madrid, el diseño está inspirado en el paso del tiempo representando por un lado una ilustración del edificio en sus comienzos siendo en blanco y negro dándole imagen de grabado y por otro lado la representación del edificio en la actualidad, dotándole de color y torre del reloj.
Muestro la imagen del boceto de la última etiqueta indicada.
Saludos.
-
RAFAEL
- Mensajes: 6707
- Registrado: 04 Nov 2006, 22:40
- Ubicación: EL CORREDOR DEL HENARES
Re: Etiquetas Franqueadoras ATM - Desde abril 2016 en adelante
Miedito me da eso de internacionales, ¿Eso qué significa? ¿Qué sólo se venderán en exposiciones fuera de nuestras fronteras? ¿Qué cambiarán las de aquí con una nueva matriculación? ¿Irán en el abono? ¿Qué sólo serán de tarifas B y C? En fin, muchas incertidumbres... ya se podían haber tirado el rollo y enseñado las dos etiquetas de enero.
Busco: atm, franqueos y cancelaciones digitales, cualquier cosa con datamatrix y algo de básicas
- alfareva
- Mensajes: 16242
- Registrado: 20 Ago 2007, 20:51
- Ubicación: Madrid
Re: Etiquetas Franqueadoras ATM - Desde abril 2016 en adelante
Hola:
En relación a lo último comentado por "RAFAEL", precisamente se muestra una de las dos etiquetas de enero.
Saludos.
En relación a lo último comentado por "RAFAEL", precisamente se muestra una de las dos etiquetas de enero.
Saludos.
-
RAFAEL
- Mensajes: 6707
- Registrado: 04 Nov 2006, 22:40
- Ubicación: EL CORREDOR DEL HENARES
Re: Etiquetas Franqueadoras ATM - Desde abril 2016 en adelante
Hoy me ha llegado el abono del 2017, si saco un rato lo escaneare y mostraré las imágenes.
Inicialmente, la presentación es similar a la del año pasado, lo que para mi es un acierto. Pero añade una hoja más ya que este año son 8 modelos los que vienen por lo 6 del año pasado. Al final, el abono han sido 25,20 euros, de los cuales 1 son los gastos de envío. Envío que venía en un sobre parecido al mostrado por Laudes en viewtopic.php?f=15&t=11343&start=220 del cuarto trimestre con motivos navideños, pero que incluye en la esquina inferior izquierda la palabra V.F. CERTIFICADO (y que no muestro porque..... no entra en el escáner de casa) acompañado de la revista Sellos y mucho más nº 50.
El código alfanumérico que aparece es: PDES17 CH17 SSSS NNN, donde:
P es que se han impreso por las impresoras de sobremesa
D es diciembre
ES17 es España año 17
CH17 es que se ha impreso por el SF en Chamartín
SSSS es el número de sesión
NNN es el numero que hace la etiqueta
Como curiosidad, decir que las etiquetas de los dos modelos genéricos, aparecen con el acento en la palabra Chamartín. Hasta principios del verano se imprimía sin acento. Y todas las series tienen el mismo número de control al dorso.
Inicialmente, la presentación es similar a la del año pasado, lo que para mi es un acierto. Pero añade una hoja más ya que este año son 8 modelos los que vienen por lo 6 del año pasado. Al final, el abono han sido 25,20 euros, de los cuales 1 son los gastos de envío. Envío que venía en un sobre parecido al mostrado por Laudes en viewtopic.php?f=15&t=11343&start=220 del cuarto trimestre con motivos navideños, pero que incluye en la esquina inferior izquierda la palabra V.F. CERTIFICADO (y que no muestro porque..... no entra en el escáner de casa) acompañado de la revista Sellos y mucho más nº 50.
El código alfanumérico que aparece es: PDES17 CH17 SSSS NNN, donde:
P es que se han impreso por las impresoras de sobremesa
D es diciembre
ES17 es España año 17
CH17 es que se ha impreso por el SF en Chamartín
SSSS es el número de sesión
NNN es el numero que hace la etiqueta
Como curiosidad, decir que las etiquetas de los dos modelos genéricos, aparecen con el acento en la palabra Chamartín. Hasta principios del verano se imprimía sin acento. Y todas las series tienen el mismo número de control al dorso.
Busco: atm, franqueos y cancelaciones digitales, cualquier cosa con datamatrix y algo de básicas
- ramko
- Mensajes: 4663
- Registrado: 28 May 2010, 14:45
- Ubicación: Bilbao
Re: Etiquetas Franqueadoras ATM - Desde abril 2016 en adelante
Vaya mes que llevo
Por fin he podido abrir el sobre con el abono dentro.
Confirmar todo lo dicho por RAFAEL. Apuntar sólo que la calidad de la portada es para llorar, no puede ser que las imágenes estén tan pixeladas, que igual es algo hecho a propósito pero...
Por lo demás un 10 y un acierto usar este sistema, que por otro lado ya me dijeron que sería así por siempre ya que ha tenido buena acogida.
Y para que RAFAEL nos escriba algo sobre los franqueos azules le dejo otra de las emisiones del año que viene.
Confirmar todo lo dicho por RAFAEL. Apuntar sólo que la calidad de la portada es para llorar, no puede ser que las imágenes estén tan pixeladas, que igual es algo hecho a propósito pero...
Por lo demás un 10 y un acierto usar este sistema, que por otro lado ya me dijeron que sería así por siempre ya que ha tenido buena acogida.
Y para que RAFAEL nos escriba algo sobre los franqueos azules le dejo otra de las emisiones del año que viene.
- Adjuntos
-
- es1802.jpg (14.98 KiB) Visto 3809 veces
^***Ayuntamiento de Barcelona^**
-
RAFAEL
- Mensajes: 6707
- Registrado: 04 Nov 2006, 22:40
- Ubicación: EL CORREDOR DEL HENARES
Re: Etiquetas Franqueadoras ATM - Desde abril 2016 en adelante
[quote="ramko"]Vaya mes que llevo
Por fin he podido abrir el sobre con el abono dentro.
Confirmar todo lo dicho por RAFAEL. Apuntar sólo que la calidad de la portada es para llorar, no puede ser que las imágenes estén tan pixeladas, que igual es algo hecho a propósito pero...
[quote]
Totalmente de acuerdo con ramko en que el pixelado es cutre... muy cutre, pero por lo demás bien.... y tenemos basílica.... que no iglesia.
Confirmar todo lo dicho por RAFAEL. Apuntar sólo que la calidad de la portada es para llorar, no puede ser que las imágenes estén tan pixeladas, que igual es algo hecho a propósito pero...
[quote]
Totalmente de acuerdo con ramko en que el pixelado es cutre... muy cutre, pero por lo demás bien.... y tenemos basílica.... que no iglesia.
Busco: atm, franqueos y cancelaciones digitales, cualquier cosa con datamatrix y algo de básicas
-
RAFAEL
- Mensajes: 6707
- Registrado: 04 Nov 2006, 22:40
- Ubicación: EL CORREDOR DEL HENARES
Re: Etiquetas Franqueadoras ATM - Desde abril 2016 en adelante
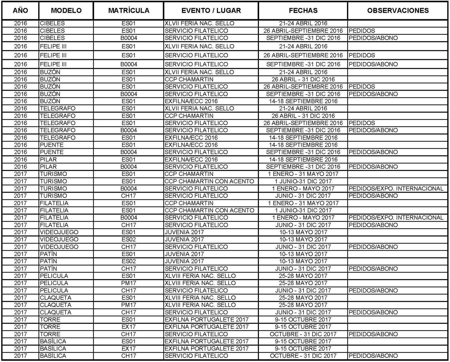
Ante la insistencia del amigo ramko, voy a subir una tabla resumen, muy muy especializada (desde mi punto de vista) de lo que han sido los dos años que llevamos de ATMs del sistema Post&Go.
La explicación es el año, el modelo, matrícula, lugar donde obtenerlos, fechas donde obtenerlos y observaciones de los obtenidos a través del Servicio filatélico. No creo que necesite muchas explicaciones, pero agradecería que si alguien ve una errata me lo diga para corregirlo.
A lo largo de las páginas de este hilo se pueden ver casi todos los ejemplares contemplados, faltan dos, que son los que a mi me faltan en la cole...
pero todo llegará....
Un saludo.
La explicación es el año, el modelo, matrícula, lugar donde obtenerlos, fechas donde obtenerlos y observaciones de los obtenidos a través del Servicio filatélico. No creo que necesite muchas explicaciones, pero agradecería que si alguien ve una errata me lo diga para corregirlo.
A lo largo de las páginas de este hilo se pueden ver casi todos los ejemplares contemplados, faltan dos, que son los que a mi me faltan en la cole...
Un saludo.
Busco: atm, franqueos y cancelaciones digitales, cualquier cosa con datamatrix y algo de básicas
- ramko
- Mensajes: 4663
- Registrado: 28 May 2010, 14:45
- Ubicación: Bilbao
Re: Etiquetas Franqueadoras ATM - Desde abril 2oye 016 en adelante
Oye oye!!! Que yo no presiono a nadie!!! Lo que pasa es que te ha parecido una gran idea
Eso si, las ES01 sean normales o de pedido esporádico las dejaría como una sola pues al fin y al cabo si es la misma matrícula...
Sólo nos queda hacer un calendario
Venga, voluntarios de Madrid que nos hagan un pequeño gran favor!
Un saludo
Sólo nos queda hacer un calendario
Un saludo
^***Ayuntamiento de Barcelona^**
-
RAFAEL
- Mensajes: 6707
- Registrado: 04 Nov 2006, 22:40
- Ubicación: EL CORREDOR DEL HENARES
Re: Etiquetas Franqueadoras ATM - Desde abril 2oye 016 en adelante
Efectivamente esas ES01 son la misma etiqueta y de la misma máquina, pero he querido dejar constancia de ello porque al principio hubo mucho lio hasta que se inventaron lo del B0004. Pero no hay forma de distinguirlas si no es porque se sepa fehacientemente que te las ha enviado el SF..... una cuestión de fe. Ya he dicho al principio que es la versión hipermegaultraespecializada.... sólo apta para auténticos frikis de las pegatinas...ramko escribió:Oye oye!!! Que yo no presiono a nadie!!! Lo que pasa es que te ha parecido una gran ideaEso si, las ES01 sean normales o de pedido esporádico las dejaría como una sola pues al fin y al cabo si es la misma matrícula...
Sólo nos queda hacer un calendarioVenga, voluntarios de Madrid que nos hagan un pequeño gran favor!
Un saludo
Un saludo.
Busco: atm, franqueos y cancelaciones digitales, cualquier cosa con datamatrix y algo de básicas
- alfareva
- Mensajes: 16242
- Registrado: 20 Ago 2007, 20:51
- Ubicación: Madrid
Re: Etiquetas Franqueadoras ATM - Desde abril 2016 en adelante
Hola:
Muy bueno el cuadro. Por algo se empieza.
Saludos.
Muy bueno el cuadro. Por algo se empieza.
Saludos.
-
RAFAEL
- Mensajes: 6707
- Registrado: 04 Nov 2006, 22:40
- Ubicación: EL CORREDOR DEL HENARES
Re: Etiquetas Franqueadoras ATM - Desde abril 2016 en adelante
Como se que medio foro está pendiente de este hilo, y deseando poder ver las novedades...
voy a comentar la jugada de hoy 2 de enero de 2018. Lo primero es que se ha notado que hoy hemos ido unos cuantos a sacar ATMs, es más, he coincidido con varios amiguetes.... je, je, je.... todos a lo mismo... la frikada pegatinera.
Como era de esperar, etiquetas nuevas y tarifas actualizadas, el pinpad de pago.... como siempre... a ratos mejor y a ratos peor... Por lo demás... muy bien, en la propia oficina de Correos muy atentos y amables, espero que se traduzca en que los sobres no pasen por el CTA.
Al tener más parte de blanco la impresión se aprecia mucho mejor. En los ATMs individuales se aprecia el corte muy ajustado al sello, pero no he llegado a ver ninguno cortado.... pero es cuestión de tiempo algún fallito.
Subo la primera imagen: Tarifa de 4 valores del modelo "Casa Correos"
Como era de esperar, etiquetas nuevas y tarifas actualizadas, el pinpad de pago.... como siempre... a ratos mejor y a ratos peor... Por lo demás... muy bien, en la propia oficina de Correos muy atentos y amables, espero que se traduzca en que los sobres no pasen por el CTA.
Al tener más parte de blanco la impresión se aprecia mucho mejor. En los ATMs individuales se aprecia el corte muy ajustado al sello, pero no he llegado a ver ninguno cortado.... pero es cuestión de tiempo algún fallito.
Subo la primera imagen: Tarifa de 4 valores del modelo "Casa Correos"
Última edición por RAFAEL el 02 Ene 2018, 17:41, editado 1 vez en total.
Busco: atm, franqueos y cancelaciones digitales, cualquier cosa con datamatrix y algo de básicas
-
RAFAEL
- Mensajes: 6707
- Registrado: 04 Nov 2006, 22:40
- Ubicación: EL CORREDOR DEL HENARES
Re: Etiquetas Franqueadoras ATM - Desde abril 2016 en adelante
4 Tarifa A del modelo "Casa Correos"
Busco: atm, franqueos y cancelaciones digitales, cualquier cosa con datamatrix y algo de básicas
-
RAFAEL
- Mensajes: 6707
- Registrado: 04 Nov 2006, 22:40
- Ubicación: EL CORREDOR DEL HENARES
Re: Etiquetas Franqueadoras ATM - Desde abril 2016 en adelante
Tarifa de 4 valores del modelo "Europa"
Busco: atm, franqueos y cancelaciones digitales, cualquier cosa con datamatrix y algo de básicas
-
RAFAEL
- Mensajes: 6707
- Registrado: 04 Nov 2006, 22:40
- Ubicación: EL CORREDOR DEL HENARES
Re: Etiquetas Franqueadoras ATM - Desde abril 2016 en adelante
Serie 4 Tarifa A del modelo "Europa"
Busco: atm, franqueos y cancelaciones digitales, cualquier cosa con datamatrix y algo de básicas
-
RAFAEL
- Mensajes: 6707
- Registrado: 04 Nov 2006, 22:40
- Ubicación: EL CORREDOR DEL HENARES
Re: Etiquetas Franqueadoras ATM - Desde abril 2016 en adelante
Y para acabar, la tradicional "parejita"
Busco: atm, franqueos y cancelaciones digitales, cualquier cosa con datamatrix y algo de básicas
- javivi
- Mensajes: 5522
- Registrado: 08 Abr 2003, 09:30
- Ubicación: La Rioja
- Contactar:
Re: Etiquetas Franqueadoras ATM - Desde abril 2016 en adelante
Michas gracias Rafa
Eso es rapidez
Eso es rapidez
- Julian
- Mensajes: 14932
- Registrado: 08 Abr 2003, 00:50
- Ubicación: Alicante
- Contactar:
Re: Etiquetas Franqueadoras ATM - Desde abril 2016 en adelante
Esta me ha llegado hoy.
Sin pasar por el CTA, y con la marca de indexación naranja al dorso.
Gracias Rafael.
Saludos
Sin pasar por el CTA, y con la marca de indexación naranja al dorso.
Gracias Rafael.
Saludos
Quien sólo busca el aplauso de los demás,
pone su felicidad en manos ajenas.
FELÍZ DÍA
pone su felicidad en manos ajenas.
FELÍZ DÍA
-
ramonet_
- Mensajes: 20
- Registrado: 07 Oct 2017, 21:56
Re: Etiquetas Franqueadoras ATM - Desde abril 2016 en adelante
Vaya. Tras varios años alejado de este mundo me desayuno que han 'reaparecido' los ATM. Bueno, vamos a por ellos...


